Sulfamerazine

Sulfamerazine
Clinical data
AHFS/Drugs.comInternational Drug Names
ATC code
Identifiers
  • 4-amino-N-(4-methylpyrimidin-2-yl)
    benzenesulfonamide
CAS Number
PubChem CID
DrugBank
ChemSpider
UNII
KEGG
ChEBI
ChEMBL
CompTox Dashboard (EPA)
ECHA InfoCard100.004.425
Chemical and physical data
FormulaC11H12N4O2S
Molar mass264.30 g·mol−1
3D model (JSmol)
Melting point234 to 238 °C (453 to 460 °F)
  • O=S(=O)(Nc1nc(ccn1)C)c2ccc(N)cc2
  • InChI=1S/C11H12N4O2S/c1-8-6-7-13-11(14-8)15-18(16,17)10-4-2-9(12)3-5-10/h2-7H,12H2,1H3,(H,13,14,15) checkY
  • Key:QPPBRPIAZZHUNT-UHFFFAOYSA-N checkY
  (verify)

Sulfamerazine is a sulfonamide antibacterial.

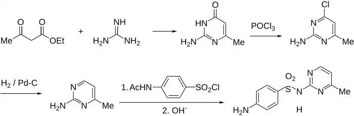
Synthesis

Sulfamerazine synthesis:[1][2] U.S. patent 2,378,813

See also

References

  1. ^ Roblin RO, Williams JH, Winnek PS, English JP (1940). "Chemotherapy. II. Some Sulfanilamido Heterocycles1". Journal of the American Chemical Society. 62 (8): 2002–2005. doi:10.1021/ja01865a027.
  2. ^ Sprague JM, Kissinger LW, Lincoln RM (1941). "Sulfonamido Derivatives of Pyrimidines". Journal of the American Chemical Society. 63 (11): 3028–3030. doi:10.1021/ja01856a046.

Media related to Sulfamerazine at Wikimedia Commons