Stereochemistry

Stereochemistry, a subdiscipline of chemistry, studies the spatial arrangement of atoms that form the structure of molecules and their manipulation.[1] The study of stereochemistry focuses on the relationships between stereoisomers, which are defined as having the same molecular formula and sequence of bonded atoms (constitution) but differing in the geometric positioning of the atoms in space. For this reason, it is also known as 3D chemistry—the prefix "stereo-" means "three-dimensionality".[2] Stereochemistry applies to all kinds of compounds and ions, organic and inorganic species alike. Stereochemistry affects biological, physical, and supramolecular chemistry.

Stereochemistry reactivity of the molecules in question (dynamic stereochemistry).

Cahn–Ingold–Prelog priority rules are part of a system for describing a molecule's stereochemistry. They rank the atoms around a stereocenter in a standard way, allowing unambiguous descriptions of their relative positions in the molecule. A Fischer projection is a simplified way to depict the stereochemistry around a stereocenter.

Thalidomide example

Enantiomers of thalidomide

Stereochemistry has important applications in the field of medicine, particularly pharmaceuticals. An often cited example of the importance of stereochemistry relates to the thalidomide disaster. Thalidomide is a pharmaceutical drug, first prepared in 1957 in Germany, prescribed for treating morning sickness in pregnant women. The drug was discovered to be teratogenic, causing serious genetic damage to early embryonic growth and development, leading to limb deformation in babies. Several proposed mechanisms of teratogenicity involve different biological functions for the (R)- and (S)-thalidomide enantiomers.[3] In the human body, however, thalidomide undergoes racemization: even if only one of the two enantiomers is administered as a drug, the other enantiomer is produced as a result of metabolism.[4] Accordingly, it is incorrect to state that one stereoisomer is safe while the other is teratogenic.[5] Thalidomide is currently used for the treatment of other diseases, notably cancer and leprosy. Strict regulations and controls have been implemented to avoid its use by pregnant women and prevent developmental deformities. This disaster was a driving force behind requiring strict testing of drugs before making them available to the public.

In yet another example, the drug ibuprofen can exist as (R)- and (S)-isomers. Only the (S)-ibuprofen is active in reducing inflammation and pain.[6][7]

Diastereomers

Isomers are of two types: diastereomers (also called diastereoisomers) and enantiomers. Enantiomers are non-superimposable mirror images. Diastereomers are all other types of isomers.

enantiomers of 2-butanol.

Epimers

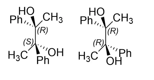
Epimers are a subcategory of diastereomers that differ in absolute configuration configurations at only one corresponding stereocenter. They are commonly found in sugar chemistry, where two sugars can differ by the configuration of a single carbon atom. D-glucose and D-galactose are epimers, differing only at the C-4 position in their structure. (see sugar numbering)

This pair can also be classified as epimers.

Cis-Trans isomers

Cis-Trans isomers are often associated alkene double bonds.

     
cis-pent-2-ene       trans-pent-2-ene

The more general E/Z nomenclature refers to the concept of cis/trans isomerism, and is especially useful for more complex compounds.

     
(Z)-1-Bromo-1,2-dichloroethene       (E)-1-Bromo-1,2-dichloroethene

Atropisomers

Atropisomerism are another kind of diasteromer. They exist because of the inability to rotate about a bond, such as due to steric hindrance between functional groups on two sp2-hybridized carbon atoms. Usually atropisomers are chiral, and as such they are a form of axial chirality. Atropisomerism can be described as conformational isomerism

History

In 1815, Jean-Baptiste Biot's observation of optical activity marked the beginning of organic stereochemistry history. He observed that organic molecules were able to rotate the plane of polarized light in a solution or in the gaseous phase.[8] Despite Biot's discoveries, Louis Pasteur is commonly described as the first stereochemist, having observed in 1842 that salts of tartaric acid collected from wine production vessels could rotate the plane of polarized light, but that salts from other sources did not. This was the only physical property that differed between the two types of tartrate salts, which is due to optical isomerism. In 1874, Jacobus Henricus van 't Hoff and Joseph Le Bel explained optical activity in terms of the tetrahedral arrangement of the atoms bound to carbon. Kekulé explored tetrahedral models earlier, in 1862, but never published his work; Emanuele Paternò probably knew of these but was the first to draw and discuss three dimensional structures, such as of 1,2-dibromoethane in the Giornale di Scienze Naturali ed Economiche in 1869.[9] The term "chiral" was introduced by Lord Kelvin in 1904. Arthur Robertson Cushny, a Scottish Pharmacologist, first provided a clear example in 1908 of a bioactivity difference between enantiomers of a chiral molecule viz. (−)-Adrenaline is two times more potent than the (±)- form as a vasoconstrictor and in 1926 laid the foundation for chiral pharmacology/stereo-pharmacology[10][11] (biological relations of optically isomeric substances). Later in 1966, the Cahn–Ingold–Prelog nomenclature or Sequence rule was devised to assign absolute configuration to stereogenic/chiral center (R- and S- notation) [12] and extended to be applied across olefinic bonds (E- and Z- notation).

See also

References

  1. ^ Ernest Eliel Basic Organic Stereochemistry ,2001 ISBN 0471374997; Bernard Testa and John Caldwell Organic Stereochemistry: Guiding Principles and Biomedicinal Relevance 2014 ISBN 3906390691; Hua-Jie Zhu Organic Stereochemistry: Experimental and Computational Methods 2015 ISBN 3527338225; László Poppe, Mihály Nógrádi, József Nagy, Gábor Hornyánszky, Zoltán Boros Stereochemistry and Stereoselective Synthesis: An Introduction 2016 ISBN 3527339019
  2. ^ "the definition of stereo-". Dictionary.com. Archived from the original on 2010-06-09.
  3. ^ Stephens TD, Bunde CJ, Fillmore BJ (June 2000). "Mechanism of action in thalidomide teratogenesis". Biochemical Pharmacology. 59 (12): 1489–99. doi:10.1016/S0006-2952(99)00388-3. PMID 10799645.
  4. ^ Teo SK, Colburn WA, Tracewell WG, Kook KA, Stirling DI, Jaworsky MS, Scheffler MA, Thomas SD, Laskin OL (2004). "Clinical pharmacokinetics of thalidomide". Clin. Pharmacokinet. 43 (5): 311–327. doi:10.2165/00003088-200443050-00004. PMID 15080764. S2CID 37728304.
  5. ^ Francl, Michelle (2010). "Urban legends of chemistry". Nature Chemistry. 2 (8): 600–601. Bibcode:2010NatCh...2..600F. doi:10.1038/nchem.750. PMID 20651711.
  6. ^ Geisslinger, G.; Stock, K. -P.; Bach, G. L.; Loew, D.; Brune, K. (June 1989). "Pharmacological differences between R(−)-and S(+)-ibuprofen". Agents and Actions. 27 (3–4): 455–457. doi:10.1007/BF01972851. ISSN 0065-4299. PMID 2801337.
  7. ^ Evans, A. M. (November 2001). "Comparative Pharmacology of S(+)-Ibuprofen and (RS)-Ibuprofen". Clinical Rheumatology. 20 (S1): 9–14. doi:10.1007/BF03342662. ISSN 0770-3198. PMID 11771573.
  8. ^ Nasipuri, D (2021). Stereochemistry of Organic Compounds Principles and Applications (4th ed.). New Delhi: New Age International. p. 1. ISBN 978-93-89802-47-4.{{cite book}}: CS1 maint: publisher location (link)
  9. ^ Paternò, Emanuele (1869). "Intorno all'azione del percloruro di fosforo sul clorale". Giorn. Sci. Nat. Econ. 5: 117–122.
  10. ^ Smith, Silas W. (2009-05-04). "Chiral Toxicology: It's the Same Thing…Only Different". Toxicological Sciences. 110 (1): 4–30. doi:10.1093/toxsci/kfp097. ISSN 1096-6080. PMID 19414517.
  11. ^ Patočka, Jiří; Dvořák, Aleš (2004-07-31). "Biomedical aspects of chiral molecules". Journal of Applied Biomedicine. 2 (2): 95–100. doi:10.32725/jab.2004.011.
  12. ^ Cahn, R. S.; Ingold, Christopher; Prelog, V. (April 1966). "Specification of Molecular Chirality". Angewandte Chemie International Edition in English. 5 (4): 385–415. doi:10.1002/anie.196603851. ISSN 0570-0833.