Metazocine

Metazocine
Clinical data
ATC code
  • none
Legal status
Legal status
Identifiers
  • (2R,6R,11R)-3,6,11-Trimethyl-1,2,3,4,5,6-hexahydro-2,6-methanobenzo[d]azocin-8-ol
CAS Number
PubChem CID
ChemSpider
UNII
KEGG
ChEMBL
CompTox Dashboard (EPA)
ECHA InfoCard100.020.998
Chemical and physical data
FormulaC15H21NO
Molar mass231.339 g·mol−1
3D model (JSmol)
  • OC1=CC([C@@](C)([C@@]2([H])C)CCN(C)[C@]2([H])C3)=C3C=C1
  • InChI=1S/C15H21NO/c1-10-14-8-11-4-5-12(17)9-13(11)15(10,2)6-7-16(14)3/h4-5,9-10,14,17H,6-8H2,1-3H3 checkY
  • Key:YGSVZRIZCHZUHB-UHFFFAOYSA-N checkY

Metazocine is an opioid analgesic related to pentazocine. While metazocine has significant analgesic effects,[2] mediated through a mixed agonist–antagonist action[3] at the mu opioid receptor,[4] its clinical use is limited by dysphoric and hallucinogenic effects which are most likely caused by activity at kappa opioid receptors (where it is a high-efficacy agonist)[5] and/or sigma receptors.[6][7]

Metazocine is in Schedule II of the Controlled Substances Act 1970 of the United States as a Narcotic with ACSCN 9240 with a 19 gram aggregate manufacturing quota as of 2014. The free base conversion ratio for salts includes 0.81 for the hydrochloride and 0.74 for the hydrobromide.[8] It is listed under the Single Convention for the Control of Narcotic Substances 1961 and is controlled in most countries in the same fashion as is morphine.

Syntheses

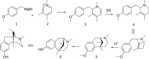
The benzomorphan, metazocine (6), can be obtained from a variation of the morphinan synthesis.

Reaction of the Grignard reagent from p-methoxybenzyl chloride (1) with the lutidine methiodide (2) affords the benzylated dihydropyridine (3). Reduction of the enamine π-bond leads to the tetrahydropyridine (4). Cyclization by means of acid leads directly to the benzomorphan ring system (5). Demethylation of the aromatic ring system gives the phenol. Although this last compound is in fact a relatively potent analgesic, it is not available commercially as a drug.[9][10] Also see:[11]

See also

References

  1. ^ Anvisa (2023-03-31). "RDC Nº 784 - Listas de Substâncias Entorpecentes, Psicotrópicas, Precursoras e Outras sob Controle Especial" [Collegiate Board Resolution No. 784 - Lists of Narcotic, Psychotropic, Precursor, and Other Substances under Special Control] (in Brazilian Portuguese). Diário Oficial da União (published 2023-04-04). Archived from the original on 2023-08-03. Retrieved 2023-08-16.
  2. ^ Hori M, Ban M, Imai E, Iwata N, Suzuki Y, Baba Y, Morita T, Fujimura H, Nozaki M, Niwa M (November 1985). "Novel nonnarcotic analgesics with an improved therapeutic ratio. Structure-activity relationships of 8-(methylthio)- and 8-(acylthio)-1,2,3,4,5,6-hexahydro-2,6-methano-3-benzazocines". Journal of Medicinal Chemistry. 28 (11): 1656–61. doi:10.1021/jm00149a020. PMID 2999399.
  3. ^ Berzetei-Gurske I, Loew GH (1990). "The novel antagonist profile of (-)metazocine". Progress in Clinical and Biological Research. 328: 33–6. PMID 2154788.
  4. ^ Gharagozlou P, Demirci H, David Clark J, Lameh J (January 2003). "Activity of opioid ligands in cells expressing cloned mu opioid receptors". BMC Pharmacology. 3: 1. doi:10.1186/1471-2210-3-1. PMC 140036. PMID 12513698.
  5. ^ Gharagozlou P, Hashemi E, DeLorey TM, Clark JD, Lameh J (January 2006). "Pharmacological profiles of opioid ligands at kappa opioid receptors". BMC Pharmacology. 6: 3. doi:10.1186/1471-2210-6-3. PMC 1403760. PMID 16433932.
  6. ^ Shannon HE (July 1982). "Pharmacological analysis of the phencyclidine-like discriminative stimulus properties of narcotic derivatives in rats". The Journal of Pharmacology and Experimental Therapeutics. 222 (1): 146–51. doi:10.1016/S0022-3565(25)33166-6. PMID 7086696.
  7. ^ Slifer BL, Balster RL, May EL (October 1986). "Reinforcing and phencyclidine-like stimulus properties of enantiomers of metazocine". Pharmacology, Biochemistry, and Behavior. 25 (4): 785–9. doi:10.1016/0091-3057(86)90388-6. PMID 3786338. S2CID 32126170.
  8. ^ "Quotas - 2014". Diversion Control Division. U.S. Department of Justice, Drug Enforcement Administration.
  9. ^ May EL, Fry EM (1957). "Structures Related to Morphine. VIII. Further Syntheses in the Benzomorphan Series*1,2". The Journal of Organic Chemistry. 22 (11): 1366–1369. doi:10.1021/jo01362a017.
  10. ^ May EL, Ager JH (1959). "Structures Related to Morphine. XI.1Analogs and a Diastereoisomer of 2'-Hydroxy-2,5,9-trimethyl-6,7-benzomorphan". The Journal of Organic Chemistry. 24 (10): 1432–1435. doi:10.1021/jo01092a011.
  11. ^ Singh, Kamal Nain; Singh, Pushpinder; Sharma, Arvind Kumar; Singh, Paramjit; Kessar, Satinder V. (2010). "A Short Synthesis of Benzomorphane Analgesics (±)-Metazocine and (±)-Phenazocine". Synthetic Communications. 40 (24): 3716–3720. doi:10.1080/00397910903531722.