Glibornuride

Glibornuride
Names
IUPAC name
N-{[(1R,2R,3S,4S)-2-Hydroxybornan-3-yl]carbamoyl}-4-methylbenzene-1-sulfonamide
Systematic IUPAC name
N-{[(1S,2S,3R,4R)-3-Hydroxy-4,7,7-trimethylbicyclo[2.2.1]heptan-2-yl]carbamoyl}-4-methylbenzene-1-sulfonamide
Identifiers
3D model (JSmol)
ChemSpider
DrugBank
ECHA InfoCard 100.043.735
EC Number
  • 248-124-6
KEGG
MeSH C073323
UNII
  • InChI=1S/C18H26N2O4S/c1-11-5-7-12(8-6-11)25(23,24)20-16(22)19-14-13-9-10-18(4,15(14)21)17(13,2)3/h5-8,13-15,21H,9-10H2,1-4H3,(H2,19,20,22)/t13-,14+,15+,18+/m1/s1 ☒N
    Key: RMTYNAPTNBJHQI-LLDVTBCESA-N ☒N
  • InChI=1/C18H26N2O4S/c1-11-5-7-12(8-6-11)25(23,24)20-16(22)19-14-13-9-10-18(4,15(14)21)17(13,2)3/h5-8,13-15,21H,9-10H2,1-4H3,(H2,19,20,22)/t13-,14+,15+,18+/m1/s1
    Key: RMTYNAPTNBJHQI-LLDVTBCEBZ
  • CC1=CC=C(C=C1)S(=O)(=O)NC(=O)NC2C3CCC(C2O)(C3(C)C)C
Properties
C18H26N2O4S
Molar mass 366.48 g/mol
Pharmacology
A10BB04 (WHO)
Except where otherwise noted, data are given for materials in their standard state (at 25 °C [77 °F], 100 kPa).
☒N verify (what is checkY☒N ?)
Infobox references

Glibornuride (INN) is an anti-diabetic drug from the group of sulfonylureas.[1] It is manufactured by MEDA Pharma and sold in Switzerland under the brand name Glutril.[2]

Synthesis

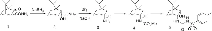
Glibornuride synthesis:[3] See also: U.S. patent 3,770,761; eidem, U.S. patent 3,654,357 (to Hoffmann-La Roche).

Gliburnide is an endo-endo derivative made from camphor-3-carboxamide by borohydride reduction (exo approach), followed by Hofmann rearrangement to carbamate, followed by displacement with sodium tosylamide.

References

  1. ^ Haupt E, Köberich W, Beyer J, Schöffling K (December 1971). "Pharmacodynamic aspects of tolbutamide, glibenclamide, glibornuride and glisoxepide. I. Dose response relations and repeated administration in diabetic subjects". Diabetologia. 7 (6): 449–54. doi:10.1007/bf01212061. PMID 5004178.
  2. ^ "Glutril — Drugs.com". Drugs.com. Archived from the original on 14 September 2016. Retrieved 12 July 2016.
  3. ^ Bretschneider, H.; Hohenlohe-Oehringen, K.; Graßmayr, K. (1969). "Arylsulfonylureido- und Arylsulfonylamidoacyl-derivate von Oxy- und Oxo-cycloalkanen als potentielle Antidiabetica". Monatshefte für Chemie. 100 (6): 2133. doi:10.1007/BF01151769.