Dimethylthiambutene

Dimethylthiambutene
Clinical data
ATC code
  • none
Legal status
Legal status
Identifiers
  • (RS)-N,N-dimethyl-4,4-dithiophen-2-yl-but-3-en-2-amine
CAS Number
PubChem CID
DrugBank
ChemSpider
UNII
KEGG
ChEBI
ChEMBL
CompTox Dashboard (EPA)
Chemical and physical data
FormulaC14H17NS2
Molar mass263.42 g·mol−1
3D model (JSmol)
Melting point169 to 170 °C (336 to 338 °F)
  • CC(C=C(C1=CC=CS1)C2=CC=CS2)N(C)C
  • InChI=1S/C14H17NS2/c1-11(15(2)3)10-12(13-6-4-8-16-13)14-7-5-9-17-14/h4-11H,1-3H3 checkY
  • Key:CANBGVXYBPOLRR-UHFFFAOYSA-N checkY
  (verify)

Dimethylthiambutene (N,N-Dimethyl-1-methyl-3,3-di-2-thienylallylamine, DMTB, trade names Ohton, Aminobutene, Dimethibutin, Kobaton, Takaton, Dimethibutin) is an opioid analgesic drug, most often used in veterinary medicine in Japan and to a lesser extent in other countries in the region and around the world. It is the most prominent and widely used of the thiambutenes, a series of open-chain opioids structurally related to methadone which are also called the thienyl derivative opioids which also includes diethylthiambutene and ethylmethylthiambutene, as well as the non-opioid cough suppressant tipepidine.

Dimethylthiambutene was developed in the United Kingdom in the late 1940s and introduced to the market by Burroughs-Wellcome in 1951. Dimethylthiambutene is now under international control under the UN Single Convention on Narcotic Drugs 1961, the laws governing habit-forming substances in virtually all countries and Schedule I of the US Controlled Substances Act of 1970 due to high abuse potential and never being introduced clinically in the United States; other countries regulate it much as morphine or diamorphine. Its DEA ACSCN is 9619 and it had a zero manufacturing quota in 2013.

Synthesis

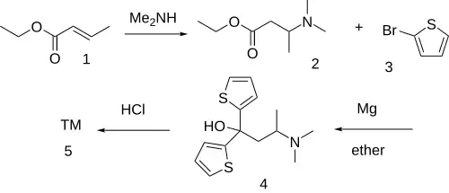
Synthesis:[2] Patent:[3]

The conjugate addition between Ethyl crotonate [623-70-1][10544-63-5] (1) and dimethylamine gives Ethyl 3-(Dimethylamino)Butanoate [85118-28-1] (2). Grignard reaction with 2-Bromothiophene [1003-09-4] (3) gives (4). Dehydration in acid completed the synthesis (5).

See also

References

  1. ^ Anvisa (2023-03-31). "RDC Nº 784 - Listas de Substâncias Entorpecentes, Psicotrópicas, Precursoras e Outras sob Controle Especial" [Collegiate Board Resolution No. 784 - Lists of Narcotic, Psychotropic, Precursor, and Other Substances under Special Control] (in Brazilian Portuguese). Diário Oficial da União (published 2023-04-04). Archived from the original on 2023-08-03. Retrieved 2023-08-16.
  2. ^ Adamson DW (1950). "180. Aminoalkyl tertiary carbinols and derived products. Part II. 3-Amino-1: 1-di-2′-thienyl-alkan-1-ols and-alk-1-enes". Journal of the Chemical Society (Resumed): 885–890. doi:10.1039/JR9500000885.
  3. ^ US 2561899, Wallace AD, issued 1951, assigned to Burroughs Wellcome Co.