Clocental

Clocental
Structural formula
Ball-and-stick model of the clocental molecule
Clinical data
Other namesDolcental
Identifiers
  • (1-Ethynylcyclohexyl) N-carbamoylcarbamate
CAS Number
PubChem CID
ChemSpider
UNII
CompTox Dashboard (EPA)
Chemical and physical data
FormulaC10H14N2O3
Molar mass210.233 g·mol−1
3D model (JSmol)
  • C#CC1(CCCCC1)OC(=O)NC(=O)N
  • InChI=1S/C10H14N2O3/c1-2-10(6-4-3-5-7-10)15-9(14)12-8(11)13/h1H,3-7H2,(H3,11,12,13,14) checkY
  • Key:CQVLNDZXTPGTFD-UHFFFAOYSA-N checkY

Clocental (dolcental) is a carbamate-derived sedative hypnotic.[1][2]

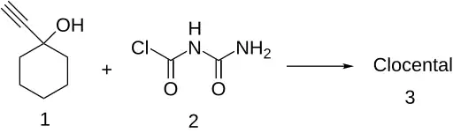
Synthesis

Clocental was first prepared by the acylation of 1-ethynylcyclohexanol with allophanyl chloride.[3]

See also

References

  1. ^ Keil W, Muschaweck R, Rademacher E (August 1954). "[Sedative and hypnotic effect of the 1-ethinyl-cyclohexyl-allophante-(1)]". Arzneimittel-Forschung (in German). 4 (8): 477–479. PMID 13198744.
  2. ^ Preuss R, Kopp R (April 1959). "[Analysis of the renal excretion products of 1-ethinyl-cyclohexylacarbamate (valamine) & 1-ethinyl-cyclohexyl-allophanate (dolcental)]". Arzneimittel-Forschung (in German). 9 (4): 255–262. PMID 13651050.
  3. ^ US patent 2822379, Grimme W, Emde H, "Allophanates of alpha-ethynylcarbinols", issued 1958-02-04, assigned to Rheinpreussen AG fuer Bergbau und Chemie