2-Methylhexane

2-Methylhexane
Skeletal formula of 2-methylhexane
Skeletal formula of 2-methylhexane
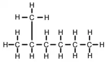
Skeletal formula of 2-methylhexane with all implicit carbons shown, and all explicit hydrogens added
Skeletal formula of 2-methylhexane with all implicit carbons shown, and all explicit hydrogens added
Ball and stick model of 2-methylhexane
Ball and stick model of 2-methylhexane
Names
Preferred IUPAC name
2-Methylhexane[1]
Identifiers
3D model (JSmol)
1696856
ChemSpider
ECHA InfoCard 100.008.847
EC Number
  • 209-730-6
RTECS number
  • MO3871500
UNII
UN number 3295
  • InChI=1S/C7H16/c1-4-5-6-7(2)3/h7H,4-6H2,1-3H3 checkY
    Key: GXDHCNNESPLIKD-UHFFFAOYSA-N checkY
  • CCCCC(C)C
Properties
C7H16
Molar mass 100.205 g·mol−1
Appearance Colorless liquid
Odor Odorless
Density 0.679 g cm−3
Melting point −119.0 to −117.8 °C; −182.3 to −180.1 °F; 154.1 to 155.3 K
Boiling point 89.6 to 90.6 °C; 193.2 to 195.0 °F; 362.7 to 363.7 K
Vapor pressure 15.7 kPa (at 37.7 °C)
19 nmol Pa−1 kg−1
−86.24·10−6 cm3/mol
1.384
Thermochemistry
222.92 J K−1 mol−1
323.34 J K−1 mol−1
−231.1 – −228.5 kJ mol−1
−4.8127 – −4.8103 MJ mol−1
Hazards
GHS labelling:
GHS02: Flammable GHS07: Exclamation mark GHS08: Health hazard GHS09: Environmental hazard
Danger
H225, H304, H315, H336, H410
P210, P261, P273, P301+P310, P331
NFPA 704 (fire diamond)
NFPA 704 four-colored diamondHealth 2: Intense or continued but not chronic exposure could cause temporary incapacitation or possible residual injury. E.g. chloroformFlammability 3: Liquids and solids that can be ignited under almost all ambient temperature conditions. Flash point between 23 and 38 °C (73 and 100 °F). E.g. gasolineInstability 0: Normally stable, even under fire exposure conditions, and is not reactive with water. E.g. liquid nitrogenSpecial hazards (white): no code
2
3
0
Flash point −1 °C (30 °F; 272 K)
280 °C (536 °F; 553 K)
Explosive limits 1–7%
Related compounds
Related alkanes
Related compounds
Except where otherwise noted, data are given for materials in their standard state (at 25 °C [77 °F], 100 kPa).
☒N verify (what is checkY☒N ?)
Infobox references

2-Methylhexane (C7H16, also known as isoheptane, ethylisobutylmethane) is an isomer of heptane. It is structurally a hexane molecule with a methyl group attached to its second carbon atom. It exists in most commercially available heptane merchandises as an impurity but is usually not considered as impurity in terms of reactions since it has very similar physical and chemical properties when compared to n-heptane (straight-chained heptane).

Being an alkane, 2-methylhexane is insoluble in water, but is soluble in many organic solvents, such as alcohols and ether. However, 2-methylhexane is more commonly considered as a solvent itself. Therefore, even though it is present in many commercially available heptane products, it is not considered as a destructive impurity, as heptane is usually used as a solvent. Nevertheless, by concise processes of distillation and refining, it is possible to separate 2-methylhexane from n-heptane.

Within a group of isomers, those with more branches tend to ignite more easily and combust more completely. Therefore, 2-methylhexane has a lower Autoignition temperature and flash point when compared to heptane. Theoretically 2-methylhexane also burns with a less sooty flame, emitting higher-frequency radiation; however, as heptane and 2-methylhexane differ by only one carbon atom, in terms of branching, both burn with a bright yellow flame when ignited.

Compared to n-heptane, 2-methylhexane has lower melting and boiling points. 2-methylhexane is also less dense than heptane.

On the NFPA 704 scale, 2-methylhexane is listed as a reactivity level-0 chemical, along with various other alkanes. In fact, most alkanes are unreactive except in extreme conditions, such as combustion or strong sunlight. At the presence of oxygen and flame, 2-methylhexane, like heptane, combusts mostly completely into water and carbon dioxide. With UV-light and mixed with halogens in solvents, usually bromine in 1,1,1-trichloroethane, a substitution reaction occurs.

See also

References

  1. ^ "2-METHYLHEXANE - Compound Summary". PubChem Compound. USA: National Center for Biotechnology Information. 26 March 2005. Identification and Related Records. Retrieved 6 March 2012.
  • "2-Methylhexane". chemexper.com. Retrieved 22 November 2011.
  • "Material Safety Data Sheet" (PDF). ChemADVISOR. Archived from the original (PDF) on 21 March 2006. Retrieved 22 November 2011.
  • "Isoheptane". INCHEM: Chemical Safety Information from Intergovernmental Organizations. International Programme on Chemical Safety. October 2002. Retrieved 22 November 2011.